背景及概述[1]
3-氯又叫间氯,是一种无色液体,主要用于制造农药、医药、染料及过氧化物中间体和溶剂。3-氯是氯化生成邻氯和对氯的副产物,但其含量非常低且分离困难,一般不通过氯化制备3-氯。
合成方法[1]
以邻氯为原料,对其进行异构化制备3-氯。用工业级的邻氯为反应原料,分析纯的和氯作为稀释剂,与邻氯按一定体积比混合均匀。钢瓶n2和h2作载气。异构化反应在石英管积分反应器中进行,催化剂用量7~8克。新鲜催化剂在空气中于500℃下活化1小时后,用n2降至反应温度,恒温后进料反应。原料用超微量泵输送,迅速气化的试样蒸气由载气连续带入催化剂床层,反应产物经冷凝按预定时间进行收集。催化剂(hzsm-5)结焦减活后,通空气在500℃下再生2小时,然后再用于反应。收集的液体产物用毛细管色谱仪分析。产物组成如下图所示。

应用领域[2][3]
1.制备间氧基
将3-氯、酚钠、氯化亚铜、8-羟基喹啉和聚二甘醇于反应容器中常温搅拌混合,并加热至混合液温度为130~140℃,然后保温搅拌反应8~9h,后经高真空减压蒸馏,取100~110℃馏分,即得间氧基,其反应方程式如下。该反应以酚钠和3-氯为原料在催化剂作用下一步反应制备间氧基,间氯既是反应物又是溶剂。

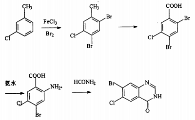
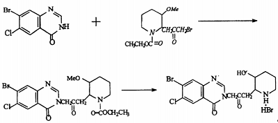
2.制备氢溴酸常山酮
氢溴酸常山酮即7-溴-6-氯-3-[3-(3-羟基-2-哌啶基)-2-氧代丙基]-4(3h)-喹啉酮,属于天然生物碱,早作为兽药使用,在抗家禽球虫病方面有独特的功效。以3-氯为原料,三氯化铁为催化剂,与溴丁烷及溴发生溴化反应得到2,4-二溴-5-氯,通过高锰酸钾、重铬酸钾或二氧化镁将甲基转变为羧基,得到2,4-二溴-5-氯酸,在氯化亚铜存在下与氨水或者氨气反应,选择性将其邻位溴氨化,得到2-甲基-4-溴-5-氯甲酸,再使用甲酰胺在dmf溶液中环化得到7-溴-6-氯-4(3h)-喹啉酮,后与2-溴丙酮基-3-甲氧基-1-哌啶羧酸乙酯缩合、水解、脱甲基,即制得氢溴酸常山酮。其反应过程如下。


主要参考资料
[1] 赵振华, 林立炟. 邻氯在 hzsm-5 沸石催化剂上常压异构化反应的研究[j]. 催化学报, 1987, 8: 430-435.
[2] 景崤壁,林明,朱贵,间氧基的合成方法,cn 201010234546,申请日2010-07-19
[3] 毛中兴,茅关兴,金军挺,氢溴酸常山酮的制备方法,cn 200410016161,申请日2004-02-04



