背景及概述[1]
邻硝基甲酸是一种含有羧基的硝基化合物,化学性质较稳定,可被还原,分子中的硝基可被还原,生成邻氨基甲酸。分子中的羧酸根赋予其有机酸的常见性质。邻硝基甲酸受高热分解,具有可燃性,燃烧时生成有毒的氮氧化物,是有机合成和制备染料、医药、颜料、香料、润滑脂和润滑油的抗氧剂和金属防锈剂等重要中间体。
生态学数据[1]
邻硝基甲酸对环境有危害,对水体和大气可造成污染,有机酸易在大气化学和大气物理变化中形成酸雨。因而当ph值降到 5以下时,会给动、植物造成严重危害,鱼的繁殖和发育会受到严重影响,流域土壤和水体底泥中的金属可被溶解进入水中毒害鱼类。水体酸化还会导致水生生物的组成结构发生变化,耐酸的藻类、真菌增多,而有根植物、细菌和脊椎动物减少,有机物的分解率降低。酸化后会严重导致湖泊、河流中鱼类减少或死亡。
合成方法[2][3][4]
合成路径1:
以邻硝基为起始原料,经氧化制备而成。在高压反应釜中,加入甲醇溶剂、邻硝基、催化剂mno4/ruo4,充分搅拌下通入氧气,在100~150℃,0.1-2mpa下反应5-15小时,反应结束后,冷却至室温,释放压力,过滤催化剂,用-水萃取,水洗有机相,蒸馏回收溶剂,得到邻硝基甲酸,收率为89.1%,纯度为96%以上。过滤后的催化剂可以循环使用。反应路线如下。

合成路径2:
以邻硝基为原料,以乙腈、dmf、乙醇或含乙醇10%~95%体积的乙醇水溶液为溶剂,选用1~230 ppm具有下图式(i)、式(ii)或式(iii)结构的金属卟啉为催化剂,在0.3~2 mol/l氢氧化钠溶液中,通入0~0.8 mpa的氧气,在微波反应温度为60~170 ℃,微波合成功率为0~85 w的条件下,反应2~60 min,得到邻硝基甲酸。与普通方法相比,该方法由于采用微波合成邻硝基甲酸,使反应压力从现有的0.8~3mpa降低到0~0.8mpa,不仅降低了反应所需的能耗,也大大增加了反应的安全性。此外,该方法使反应时间从现有的2~12h降低到2~60min,反应时间大大缩短,显著降低了合成成本。

合成路径3:
以邻硝基为起始原料,季铵盐a-1为相转移催化剂,催化kmno4氧化邻硝基合成邻硝基甲酸,适宜的反应条件为:反应温度95℃,时间3h,季铵盐a-1的量为反应底物ont的5%。kmno4与ont的量之比为2.5:1,在反应体系为中性时,获得佳氧化效果,产物收率高达到95%。
应用领域[5][6][7]
1.有机合成原料
邻硝基甲酸是常见的有机合成原料,可用来合成邻硝基甲醛,邻硝基甲醛是合成抗心绞痛药物硝基吡啶的重要中间体,将硝基还原成氨基后成为邻氨基甲醛,是合成喹啉环类药物的中间体。以邻硝基甲酸为原料,经咪唑啉还原水解得到邻硝基甲醛,该工艺简单,条件温和。合成路线如下图。

2.药物合成原料
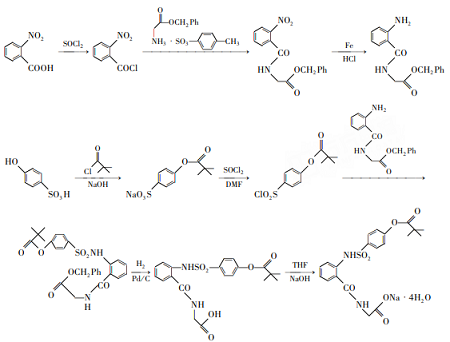
邻硝基甲酸可用来合成西维来司钠,西维来司钠是全球首个治疗伴有全身炎症反应综合症的急性肺损伤药物,它是一种弹性蛋白抑制剂,能选择性地抑制中性粒细胞释放弹性蛋白酶,治疗急性肺损伤。由邻硝基甲酸合成西维来司钠的反应路径如下图所示。

以甘氨酸卞酯对磺酸盐、对羟基磺酸、特戊酰氯和邻硝基甲酸为主要原料,首先利用邻硝基甲酸与二氯亚砜反应合成邻硝基甲酰氯,再与甘氨酸卞酯对磺酸盐共同制备邻硝基甲酰甘氨酸卞酯,氨基还原后得到邻氨基甲酰胺甘氨酸卞酯,再与由对羟基磺酸得到的对-特戊酰氧基磺酰氯反应得到n-[o-(对-特戊酰氧基磺酰胺基)甲酰]甘氨酸苄酯,还原,碱化后即得西维来司钠。
3.用作稀土配合物的配体分子
邻硝基甲酸中的羧酸根可与稀土元素形成配合物,具有很多特殊的结构和发光特性,可用于萃取分离、杀菌剂、发光及功能材料等方面。将邻硝基甲酸与硝酸钕分别用乙醇-水混合溶剂溶解,混合后加入氨水调节ph,得到淡紫色沉淀,将沉淀加入dmf溶液中,3d后得到配合物[nd(o-no2-c6h4coo)3(dmf)2]2晶体,其分子结构如下图所示。
钕配合物[nd(o-no2-c6h4coo)3(dmf)2]2晶体属于三斜晶系,每个nd(iii)被四个邻硝基甲酸根桥联,配位数为8,配位原子分别来自5个邻硝基甲酸羧酸根的6个氧原子和2个dmf的羰基氧原子。配合物中的氢键和π-π堆积作用使其成为三维立体结构。该配合物还具有光致发光现象,具有很好的荧光性能。nd(iii)离子本身发光强度较弱,只有在形成配合物并在紫外光的激发下,才能产生较强的荧光。其发光性能主要来自晶体中的邻硝基甲酸配体,该配体具有刚性结构且含有氮、氧等原子,是理想的发光结构。

主要参考资料
[1]邻硝基甲酸,化工空间
[2]王晓伟,催化氧化邻硝基制备邻硝基甲酸的方法,cn 201410459437,申请日2014-09-10
[3]佘远斌,李静,孙志成,微波合成邻硝基甲酸的方法,cn 201110028026,申请日2011-01-26
[4]李树华, 李晓如, 陈帅华. 季铵盐 a—1 催化合成邻硝基甲酸[j]. 中南工业大学学报, 2001, 32(4): 379-381.
[5]金欣, 贾卫民. 邻氨基甲酸甲酯合成新工艺研究[j]. 香料香精化妝品, 2007, 2007(3): 5-6.
[6]刘志臣, 王德才, 江建, 等. 西维来司钠的合成研究[d]. , 2005.
[7]赵丽芳, 陈亚芍. 稀土配合物 [nd (o-no2-c6h4coo) 3 (dmf) 2] 2 的合成及其晶体结构[d]. , 2007.



