概述【1】
对甲氧基乙酮有强烈持久的干草香气,香豆素似的香韵,并有花香和山楂气息。外观为结晶体。对甲氧基乙酮可用于日化香精配方中,由于它在碱性介质中比较稳定,故尤宜用于肥皂、合成洗涤剂香精配方中,在香精配方中的用量在5%以内。
用途【2】
对甲氧基乙酮是含羞、山楂等香型香精不可缺少的原料,常用于高级化妆品和皂用香精中;亦可作果实食品香精。
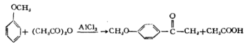
合成【3】【4】【5】
1. 茴香醚在无水三氯化铝存在下,与醋酸酐或乙酰氯相作用,经乙酰化反应制取,其反应式如下:

工艺流程:

2. 磷钨酸镓催化合成对甲氧基乙酮
以磷钨酸镓(gapw12o40)和磷钨酸铟(inpw12o40)为催化剂,甲醚和酐为原料,通过friedel-crafts酰基化反应合成了对甲氧基乙酮(p-moap)。
催化剂的制备:
根据文献报道的方法制备gapw12o40催化剂:称取一定量的h3pw12o40和硝酸镓,分别溶于一定量的蒸馏水中,室温下将硝酸镓溶液 逐滴加入到h3pw12o40溶液中;滴加完毕后,继续搅拌一定时间,于80 ℃下老化1 h,然后将多余的水分缓慢蒸干,于120 ℃下干燥过夜,得到gapw12o40催化剂。催化剂在使用前于300 ℃下焙烧2 h。
inpw12o40催化剂的制备:用h3pw12o40与硝酸铟反应制得,制备方法同上。
p-moap的合成及精制:
在100 ml三颈圆底烧瓶中加入适量的甲醚和催化剂,安装回流装置,磁力搅拌,油浴加热至一定温度,用恒压漏斗将适量的酐缓慢滴入,恒温反应一定时间后冷却至室温。依据反应液的质量及酐的投料量计算产物收率。将上述反应液与催化剂分离后分别进行碱洗、水洗、无水镁干燥,减压蒸馏收集152~154 ℃(3.5 kpa)的馏分,即可得到p-moap产物。
合成p-moap的优条件为:300 ℃下预处理的gapw12o40催化剂用量0.1 g、酐用量20 mmol、n(甲醚)∶n(酐)=5、反应温度90 ℃、反应时间30 min,酐的转化率达到98.49%,p-moap的选择性达到94.91%且纯度较高。
gapw12o40催化剂在反应过程中极容易结焦积碳,严重阻碍了催化剂的重复利用,因此其稳定性有待进一步提高。
3. 碘催化合成对甲氧基乙酮
以碘为催化剂, 由甲醚与酐进行酰基化反应合成对甲氧基乙酮。
在反应瓶中, 加入催化剂、甲醚和酐, 安装回流冷凝管, 以磁力搅拌器进行搅拌。通过水浴或油浴, 控制一定的反应温度, 恒温反应一定时间后冷却。抽取少许样品进行气相色谱定量分析。向滤液中加水以水解未反应的酐, 静置分层,有机层用氢氧化钠溶液洗至近中性, 分液后得到的有机层用无水镁干燥, 先常压蒸馏, 回收甲醚等轻馏分, 再减压收集152 ~ 154 ℃ /3.5 kpa的馏分, 即为反应产物对甲氧基乙酮。
根据酰化反应机理, 推测碘催化酰化反应的机理如下:

佳反应条件为:甲醚为0.1 mol, 甲醚与酐的摩尔比为1∶ 1.5, 催化剂的佳质量为1 g, 反应时间为1.5 h, 反应温度100 ℃, 产品收率达到52.9%。比较了不同种类催化剂对甲醚与酐酰化反应的催化效果。结果表明, 碘的催化效率远高于杂多酸及沸石分子筛, 是高效酰化反应的催化剂。
4. 杂多酸催化合成对甲氧基乙酮
以杂多酸为催化剂, 由甲醚与酐进行酰基化反应合成对甲氧基乙酮。
催化剂的预处理及负载杂多酸的制备:
将杂多酸放入可控烘箱内干燥至一定温度,恒温干燥1. 5 h 。负载h3 [ pw12 o40] 采用过量浸渍法制备。将一定量的载体分别与h3 [pw12o40] 的水溶液混合、搅拌, 在一定温度下水浴中恒温14h,然后水浴蒸干,再将其放入可控烘箱中, 150 ℃下干燥2h,即得到负载h3[pw12o40]。
甲醚与酐的friedel-crafts 酰基化反应:
在反应瓶中, 加入催化剂、甲醚和酐,安装回流冷凝管,磁力搅拌器搅拌。通过水浴或油浴,控制一定的反应温度,恒温反应一定时间后冷却。加入氯仿使杂多酸沉淀析出,过滤出催化剂。向滤液中加水以水解未反应的酐,静置分层,有机层用氢氧化钠溶液洗至近中性,分液后得到的有机层用无水镁干燥,先常压蒸馏,回收氯仿、甲醚等轻馏分,再减压收集3. 5kpa 压力下152~ 154 ℃的馏分,即为反应产物对甲氧基乙酮。
佳反应条件为:催化剂需要进行预处理, 温度为150 ℃, 甲醚与酐的摩尔比为1 :1. 5, 甲醚与催化剂的佳质量比为11,反应时间为4h,反应温度100℃,产品收率达到52. 9%。在佳条件下,考察了不同杂多酸及负载杂多酸对甲醚与酐的酰基化反应的催化果。作为杂多酸中的强酸,磷钨酸催化活性好。
参考文献
[1] 刘树文编著,合成香料技术手册,人民音乐出版社,2009.1,第217页
[2] 北京日用化学工业学会,化工产品手册日用化工产品,化学工业出版社,1989年05月第1版,第345页
[3] 李贵贤,刘珍珍,曹彦伟,李 昱,磷钨酸镓催化合成对甲氧基乙酮,石油化工,2015.12,第1476页
[4] 石正宝,秦芳,陈平,碘催化合成对甲氧基乙酮,香料香精化妆品,2009.12,第22页
[5] 徐美,李鸿鹏,陈平,于廷云,李晓欧,杂多酸催化合成对甲氧基乙酮,香料香精化妆品,2006.06,第10页



