概述【1】【2】
原儿茶酸(pca)即3,4-二羟基甲酸。是一种简单的酚酸,它是合成其他复杂分子的前体,例如花青素 3-o-β-d-葡萄糖苷和香兰素。其发现于可食用的蔬菜、水果、坚果、糙米、山核桃、茶叶、木槿花以及一些中草药中。原儿茶酸针对不同的分子靶点具有多种多样的生物活性,其具有抗菌、抗氧化、抗炎、抗高血糖以及神经保护的作用,此外原儿茶酸具有潜在的化学防护的作用,它能够抑制体外的化学致癌物质以及在不同方面产生促凋亡和抗增殖的作用。故目前在临床上用于烧伤、小儿肺炎、菌痢、急性肾盂肾炎、急性胰腺炎及某些溃疡病的治疗。
理化性质【1】
原儿茶酸密度为1.54g/cm3,熔点约200℃,溶于乙醇、、丙酮、,溶于热水、微溶于冷水,不溶于、氯仿。在沸水中分解,并放出二氧化碳。其水溶液遇三氯化铁呈绿色,遇碳酸氢钠呈红色。它是一种白色至褐色的结晶性粉末,在空气中会变色。
药理作用【1】
原儿茶酸是复杂多酚类的代谢产物,例如花青素和原花青素,他们在植物和水果中的含量很高,能够为动物和人类吸收,据估算人们每天摄入的花青素比其他多酚类要高,因此原儿茶酸的营养价值越来越得到认可。大量实验证明,原儿茶酸针对不同的分子靶点具有多种多样的生物活性,其具有抗菌、抗氧化、抗炎、抗高血糖以及神经保护的作用,此外原儿茶酸具有潜在的化学防护的作用,它能够抑制体外的化学致癌物质以及在不同方面产生促凋亡和抗增殖的作用。
1.原儿茶酸抗菌作用
原儿茶酸具有广泛的抗菌作用,从植物洛神葵中分离提取的原儿茶酸在体外实验中,对于对甲氧西林有抗性的金黄色葡萄球菌、肺炎杆菌、绿脓假单胞菌以及鲍氏不动杆菌有抑制作用,且原儿茶酸抑菌能力要优于洛神葵,热处理的原儿茶酸,并没有影响它的抑菌活性。原儿茶酸可以添加到肌肉食品中来防止弯曲菌属的污染,并且能够延迟脂质氧化。原儿茶酸的小抑菌浓度在24-44microg/ml时有效的抑制食物腐败菌、鼠伤寒沙门氏菌dt104、大肠杆菌o157:h7、产单核细胞李斯特菌、金黄色葡萄球菌、蜡样芽孢杆菌,并呈一定的剂量依赖性,这些表明原儿茶酸可能会作为食品添加剂来防止细菌污染。
2.原儿茶酸抗癌作用
原儿茶酸在癌症预防上有一定的作用,其作用机制可能与其抗氧化活性有关,包括抑制生长、清除氧自由基和上调参与中和的酶等,或者它影响一些致癌物质的一期和二期的代谢,也可能直接通过dna分子封闭了终的致癌物质的结合位点,从而阻止了导致突变和肿瘤性转化的化合物的形成,起到一定的防癌的作用。从金银花中提取的原儿茶酸在100micromol/l时,能够通过诱导jnk依赖性的肝癌细胞凋亡有效的杀死hepg2肝癌细胞。原儿茶酸能够抑制癌细胞的新陈代谢,通过激活rhob来下调ras/akt/nf-κb通路,这反过来导致了mmp诱导的癌细胞的活动减少,降低了癌细胞的侵袭性,因此其在抗癌的开发上有一定的价值。原儿茶酸对人乳房,肺,肝,子宫颈,前列腺的癌细胞具有促凋亡作用,呈一定的浓度依赖性减少了这些癌细胞的活力,这表明了原儿茶酸通过促进癌细胞的凋亡或者延缓肿瘤细胞的浸润以及新陈代谢来发挥其抗癌作用,是一种潜在的抗癌剂。
3.原儿茶酸抗氧化作用
良姜属原儿茶酸在体外降低过氧化氢所诱导的细胞生存率,防止氧化性损伤,在体内能够减轻氧化性应激,它的保护作用可能是通过抗过氧化物酶的活性以及抑制自由基的生成促成的。木槿属原儿茶酸对t-bhp诱导的肝细胞的氧化性损伤具有保护作用。原儿茶酸对于二恶英诱导的大鼠心脏组织的氧化性损伤以及组织病理学的损伤有保护作用,它通过增加二恶英诱导的大鼠心脏组织的硫代巴比妥酸活性物质,减少谷胱甘肽、过氧化氢酶、谷胱甘肽过氧化物酶和超氧化物歧化酶的含量,从而减轻了心脏组织的坏死和出血。
4.原儿茶酸抗炎作用
原儿茶酸具有抗炎作用,其对lps诱导的raw-264.7细胞以及角夹菜胶诱导的小鼠的空气袋模型具有保护作用,能够降低促炎因子tnf-α、il-1β,促炎介质no、pge2、inos、cox-2、nf-κb以及mapk。另外,原儿茶酸是用作抗菌消炎的四季青片中的重要活性成分。
5.原儿茶酸的抗高血糖作用
在糖尿病小鼠中,原儿茶酸显著的降低血糖含量并且增加胰岛素的水平。其原因可能是原儿茶酸减轻了糖尿病的并发症,降低甘油三酯,发挥其抗氧化以及抗炎作用而得。原儿茶酸有利于预防或者缓解糖尿病并发症的相关糖化。
6.原儿茶酸的其他作用
在1-甲基-4-基-1,2,3,6-四氢吡啶诱导的小鼠中,原儿茶酸通过降低多巴胺的含量以及在纹状体的多巴胺的代谢物的含量,抑制这种神经毒性,并且改善了黑质的病理学,减少了黑质的酪氨酸羟酶的表达,从而起到了一定的神经保护的作用,在临床上可能用作帕金森病的治疗。原儿茶酸能够潜在的抗传染性法氏囊病毒。原儿茶酸能够有效的减少载脂蛋白e缺失的小鼠的动脉粥样化。原儿茶酸能够预防二恶英诱导的雄性大鼠的生殖毒性。
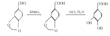
制备方法【3】
采用胡椒醛作原料,先用高锰酸钾氧化制成胡椒酸,再经三氯化铝水解制备原儿茶酸的,合成路线如下:

图1为原儿茶酸的合成路线图
1.胡椒酸的制备
将12 g胡椒醛和300 ml水加入到1000 ml的三颈瓶中,加热至上70~80℃ ,剧烈搅拌下,滴加5%的高锰酸钾水溶液(18 g高锰酸钾加360 ml水),滴加时间约30 min,加毕,继续搅拌至紫色褪去,趁热过滤,洗涤滤饼。母液酸化,过滤得胡椒酸,自然干燥成品12.4 g,收率94%,熔点228~231℃。
2.原儿茶酸的制备
将4 g三氯化铝加入到150 ml的硝基中,搅拌溶解,分批加入10 g胡椒酸,室温下搅拌3~5 h,将反应液倒入100 ml水中,分出水层,向该水溶液中通入二氧化硫,原儿茶酸析出。干重7.5g,熔点200~201℃ ,收率81%。
提取方法【2】【4】
1.从紫丁香叶中提取原儿茶酸
(1)样品的前处理。紫丁香叶原药材经干燥并通过挑选去除种子及各种杂物,经粉碎机粉碎,得细粉。
(2)原儿茶酸提取。称取过40目筛的紫丁香叶片粉末2.0g,在设定的工艺条件下以无水乙醇为提取剂进行提取。提取液滤过,弃去药渣,回收乙醇,得粗提取物。粗提取物加50ml和3ml0.1mol/l盐酸,振摇使之溶解,转入分液漏斗中,用0.1mol/l氢氧化钠溶液提取3次,每次50ml,每次提取后的氢氧化钠溶液分别用10ml洗涤后,加3ml1mol/l盐酸,合并氢氧化钠溶液,再用50ml提取3次,3次提取的层分别用10ml水洗涤,合并液,调ph为6.0,蒸干,得几近白色的粉末状晶体。
2.从小蓟中提取原儿茶酸
将小蓟生药(干基)100g加水1000ml煎煮0.5h,合并2次水煎液,抽滤,弃去滤渣,滤液呈咖啡色,电炉加热浓缩至800ml,冷却后用萃取,保留酯层,水层(i)用于提取黄酮及咖啡酸。将酯层减压浓缩至干,热水提取,抽滤,弃去水不溶物,水液酸化醚提,弃去水层,保留醚层。醚层用5%的碳酸氢钠溶液提取,弃去醚层,保留碳酸氢钠萃取液。将碳酸氢钠提取液酸化,醚提,调ph值为6,浓缩结晶,用chcl3重结晶,即得无色针状物原儿茶酸晶体。产物熔点为198~200℃。
主要参考资料
[1]魏苗苗. 原儿茶酸对过敏性哮喘模型小鼠的保护作用及相关机制的研究[d].吉林大学,2013.
[2]张来新.从小蓟中提取原儿茶酸[j].中医药学报,2004(06):27-28.
[3]赵仁宁,计榆,张乔.原儿茶酸的合成[j].辽宁化工,2001(11):469-476.
[4]赵大伟,王佩华.紫丁香叶中原儿茶酸提取工艺研究[j].安徽农业科学,2011,39(26):15943-15944+15947.



