强酸型阳离子交换树脂的合成简单介绍聚合型和缩合型两种。
①聚合型该法是利用乙烯与二乙嫦基共聚成网状聚乙烯小球,然后磧化制备即
得到强酸型阳离子交换树脂。
②缩合型该法是利用磧化酚,使華环上带有一s(),h基,然后再用甲醛与其发生

弱酸型阳离子交换树脂的合成
①聚合型利用丙烯酸酯单体以二乙烯基为交联剂引发聚合,而后水解就可以得到含 有残基的弱酸性离子交换树脂,具体反应如下;

反应的过程之所以采用丙烯酸酯类单体,是由于如果用丙烯酸类单体聚合时,丙烯酸是水 溶,陰的.不能进行悬浮聚合成球。而使用其酯类经悬浮聚合成球后,再通过水解反应形成羟基. 即可得到弱酸型阳离子交换树脂。
②缩合型这是通过具有投基取代的酚与甲醛缩合而得到具有我基的弱酸型阳离子交 换树脂的合成方法,化学反应如下:

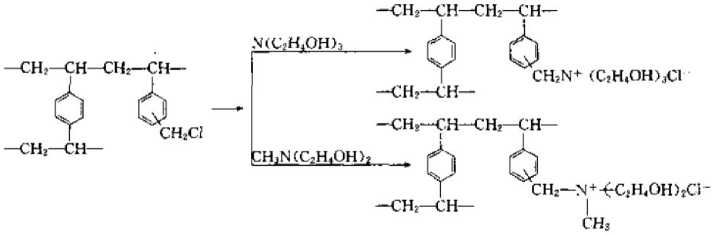
(3)强碱型离子交换树脂利用乙烯与二乙烯基共聚物小球加入强碱性有机胺基团 即可以制碍强碱型离子交换树脂。其反应如下:

(4)弱碱型离子交换树脂若在上述合成强做型离子交换树脂的共聚物小球中引入~些 弱做性基团,即可以制得弱做型离子交换树脂。反应式如下;

(5)两性离子交换树脂是同时具有酸性阳离于交换基团与碱性阴离子交换基团的离子交换树脂。
其典型的合成方法如下反应式:

离子交换树脂在工业生产上使用普遍的是乙烯-二乙烯基悬浮聚合得到的约1〜 2mm的小球,这种小球经过横化、氣甲基化、胺化后可得到不同性质的离子交换树脂。目前我 国已有多种牌号的产品生产,



