背景及概述[1]
甲酸类化合物4-甲硫基甲酸广泛用于食品、医药、染料等化工领域,其也是一类重要的有机合成中间体。目前,已经有大量文献报道甲酸的合成方法,包括:液相氧化法,甲腈水解法,氯化水解法,邻二甲酸酐水解法,醇的氧化法等。液相氧化法是目前主要的生产甲酸的方法,通常在钴、锰等催化剂催化空气氧化制得,但是该类型反应单次转化率低,需要多次循环氧化反应,且反应的官能团耐受性有限。氯化水解法、甲腈、邻二甲酸酐水解法需要使用无机碱脱氢,反应结束后酸中和,产生大量的工业盐。此外,这些方法的通常存在官能团耐受性有限的缺点,因此很多含有敏感官能团(如巯基、氰基、酯基等)的甲酸不能通过以上方法之别。
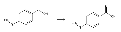
制备[1]
4-甲硫基甲酸的制备:

在10ml圆底烧瓶中,依次加入4-甲硫基甲醇0.77g,二乙二醇二甲醚2g,所得混合液在超声反应装置中,40khz/30w/70℃超声辐射敞开反应30分钟。减压除去二乙二醇二甲醚,重结晶得4-甲硫基甲酸0.79g,产率95%。直接以4-甲硫基甲醇原料为起始物料,以廉价绿色、安全的空气为氧化剂,廉价的二乙二醇二甲醚为促进剂,无溶剂条件下合成所述的甲酸类化合物的环境友好型方法。
参考文献
[1]cn201810308573.9一种超声波辅助氧化甲醇类化合物合成甲酸类化合物的方法



