n1,n1,n4,n4-四(吡啶-4-基)-1,4-二胺的制备方法_凯茵工业添加剂

n1,n1,n4,n4-四(吡啶-4-基)-1,4-二胺的制备方法_凯茵工业添加剂

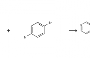
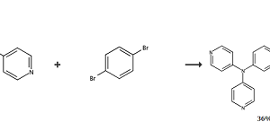
背景及概述[1] n1,n1,n4,n4-四(吡啶-4-基)-1,4-二胺是一种有机中间体,可由4,4&#03…

n1,n1,n4,n4-四(吡啶-4-基)-1,4-二胺的制备方法_凯茵工业添加剂

背景及概述[1] n1,n1,n4,n4-四(吡啶-4-基)-1,4-二胺是一种有机中间体,可由4,4&#03…

广告位

广告

联系我们

联系我们

181-3619-1160

在线咨询: QQ交谈

邮箱: 34331943@QQ.com

工作时间:周一至周五,9:00-17:30,节假日休息

关注微信
微信扫一扫关注我们

微信扫一扫关注我们

关注微博
返回顶部
首页
找样品
产品
应用
搜索