2,3,6,7,10,11-六羟基三的制备和应用_凯茵工业添加剂

背景及概述[1-2] 2,3,6,7,10,11-六羟基三简称hhhp,可由邻二酚一步制备得到。有文献报道2,…

1,3,5-三(4-碘基)的制备和应用_凯茵工业添加剂

背景及概述[1] 1,3,5-三(4-碘基)是一种有机中间体,可由1,3,5-三溴和对三甲基硅基硼酸通过两步制…

广告位

广告

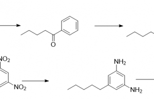
3,5-二羟基戊的制备和应用_凯茵工业添加剂

背景及概述[1-2] 3,5-二羟基戊是一种重要药物中间体,早是通过降解地衣植物中提取出来的地衣酸(又名d-松…

2-[2-[2-氯-3-[(1,3-二氢-1,3,3-三甲基-2h-吲哚-2-亚基)亚乙基]-1-环己烯-1-基]乙烯基]-1,3,3-三甲基-3h-吲哚4-甲基磺酸盐的制备_凯茵工业添加剂

背景及概述[1] 2-[2-[2-氯-3-[(1,3-二氢-1,3,3-三甲基-2h-吲哚-2-亚基)亚乙基]…

3,3’5,5′-四甲基联双酚二缩水甘油醚的制备_凯茵工业添加剂

背景及概述[1][2] 电子材料是发展微电子工业的基础,作为生产集成电路的主要结构材料——环氧塑封料随着芯片技…

3-溴-1,3,4,5-四氢-2h-1-并氮杂卓-2-酮的制备_凯茵工业添加剂

背景与概述[1] 3-溴-1,3,4,5-四氢-2h-1-并氮杂卓-2-酮是合成盐酸贝那普利的中间体。盐酸贝那…

2-(2-二氟甲基基)-4,4,5,5-四甲基-1,3,2-二氧硼烷的应用_凯茵工业添加剂

背景及概述 2-(2-二氟甲基基)-4,4,5,5-四甲基-1,3,2-二氧硼烷是一种有机中间体,常用于进行金…

3,4-二羟基甲酯的制备和应用_凯茵工业添加剂

背景及概述[1] 3,4-二羟基甲酯可用于制备羟基酪醇。羟基酪醇,其化学名为3,4-二羟基乙醇(3,4-dih…

广告位

3,4-二氢-3-羟基-4-氧-1,2,3-并三嗪的应用_凯茵工业添加剂

背景及概述[1] 3,4-二氢-3-羟基-4-氧-1,2,3-并三嗪为杂环有机物,是一种多肽合成缩合剂,简称h…

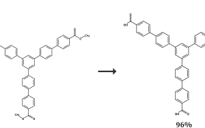
1,3,5-三(4′-羧基[1,1′-联]-4-基)的制备方法_凯茵工业添加剂

背景及概述[1] 1,3,5-三(4′-羧基[1,1′-联]-4-基)属于多联多酸单体,是一种金属-有机框架材…

联系我们

联系我们

181-3619-1160

在线咨询: QQ交谈

邮箱: 34331943@QQ.com

工作时间:周一至周五,9:00-17:30,节假日休息

关注微信
微信扫一扫关注我们

微信扫一扫关注我们

关注微博
返回顶部
首页
找样品
产品
应用
搜索