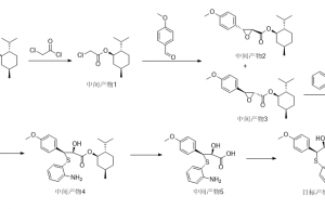
(2s-cis)-(+)-2,3-二氢-3-羟基-2-(4-甲氧基)-1,5-并硫氮杂卓-4(5h)-酮的制备_凯茵工业添加剂

背景及概述[1] (2s-cis)-(+)-2,3-二氢-3-羟基-2-(4-甲氧基)-1,5-并硫氮杂卓-4…

(2s-cis)-(+)-2,3-二氢-3-羟基-2-(4-甲氧基)-1,5-并硫氮杂卓-4(5h)-酮的制备_凯茵工业添加剂

背景及概述[1] (2s-cis)-(+)-2,3-二氢-3-羟基-2-(4-甲氧基)-1,5-并硫氮杂卓-4…

广告位

广告

联系我们

联系我们

181-3619-1160

在线咨询: QQ交谈

邮箱: 34331943@QQ.com

工作时间:周一至周五,9:00-17:30,节假日休息

关注微信
微信扫一扫关注我们

微信扫一扫关注我们

关注微博
返回顶部
首页
找样品
产品
应用
搜索