最新文章

二并-18-冠醚-6的制备_凯茵工业添加剂

概述[1] 二并-18-冠醚-6是二氨基二并-18-冠醚-6的合成原料,二氨基二并-18-冠醚-6是一种重要的…

均三胺的制备_凯茵工业添加剂

概述[1] 均三胺是一种广泛应用于染料、农药等工业的中间体。均三胺合成的原料为均三,其存在于石油中。随着我国大…

广告位

广告

乙基的制备和应用_凯茵工业添加剂

背景及概述[1][2] 乙基不溶于水,无色易燃液体,溶于醇、和醚。用于乙烯生产,合成多聚物,也作溶剂或稀释剂。…

2-(2-二氟甲基基)-4,4,5,5-四甲基-1,3,2-二氧硼烷的应用_凯茵工业添加剂

背景及概述 2-(2-二氟甲基基)-4,4,5,5-四甲基-1,3,2-二氧硼烷是一种有机中间体,常用于进行金…

2-(叔丁氧基-2-甲酰胺)-3-硝基甲酸甲酯的制备和应用_凯茵工业添加剂

背景及概述[1] 2-(叔丁氧基-2-甲酰胺)-3-硝基甲酸甲酯是一种医药中间体,可用于合成坎地沙坦。坎地沙坦…

5-溴并[1,3]二氧杂环戊烯-4-羧酸的制备_凯茵工业添加剂

背景及概述[1] 5-溴并[1,3]二氧杂环戊烯-4-羧酸可用作医药合成中间体。可由6-溴-2,3-二羟基甲醛…

邻二甲酰基氨氯地平的制备_凯茵工业添加剂

背景及概述[1] 氨氯地平,化学名为3-乙基-5-甲基-2-(2-氨基乙氧基甲基)-4-(-2-氯基)-6-甲…

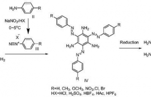
六氨基(3盐酸盐)的制备_凯茵工业添加剂

六氨基(3盐酸盐)的制备_凯茵工业添加剂

背景及概述[1] 六氨基(3盐酸盐)为芳香烃类衍生物,可用作有机合成中间体。 制备[1] 六氨基(3盐酸盐)的…

广告位

水杨酰胺的制备_凯茵工业添加剂

概述[1] 水杨酰胺又名制剂339白色或微棕色片状晶体,遇光颜色变深。熔点135℃。难溶于水,溶于乙醇、、氯仿…

硬脂酰甲酰甲烷的制备_凯茵工业添加剂

背景及概述[1] 硬脂酰甲酰甲烷(sbm)是一种重要的β-二酮结构的塑料用辅助热稳定剂,它能与多种稳定剂复合,…

联系我们

联系我们

181-3619-1160

在线咨询: QQ交谈

邮箱: 34331943@QQ.com

工作时间:周一至周五,9:00-17:30,节假日休息

关注微信
微信扫一扫关注我们

微信扫一扫关注我们

关注微博
返回顶部
首页
找样品
产品
应用
搜索