最新文章

3,5-二氯甲酰氯的制备_凯茵工业添加剂

背景及概述[1] 3,5-二氯甲酰氯是重要的农药、医药、染料中间体。在农药生产中,可通过甲酸化反应制备杀虫剂;…

3-氟乙炔的应用_凯茵工业添加剂

背景及概述[2] 3-氟乙炔可用作医药合成中间体,是一种端炔。端炔的加成反应广泛应用于药物、农药和有机功能材料…

广告位

广告

3-甲基-2-基吡啶的制备_凯茵工业添加剂

3-甲基-2-基吡啶的制备_凯茵工业添加剂

背景及概述[1] 2-基吡啶类化合物3-甲基-2-基吡啶不但是医药、农药、染料、功能材料、香料和天然产物等重要…

2-甲氧基-4-(2-氨基乙基)酚盐酸盐的制备_凯茵工业添加剂

2-甲氧基-4-(2-氨基乙基)酚盐酸盐的制备_凯茵工业添加剂

背景及概述[1] 2-甲氧基-4-(2-氨基乙基)酚盐酸盐可用作医药合成中间体,可由香草醛和硝基甲烷反应制备。…

4-羧基肼盐酸盐的制备_凯茵工业添加剂

背景及概述[1][2] 4-羧基肼盐酸盐是一种重要的中间体,尤其是一种医药中间体,现有技术以对氨基甲酸为原料,…

对三氟甲硫基胺的制备_凯茵工业添加剂

背景及概述[1][2] 对三氟甲硫基胺是作为杀虫剂、杀螨剂等农药等的制造中间体有用的化合物。 对三氟甲硫基胺可…

2-硫醇基并噻唑锌盐的制备_凯茵工业添加剂

2-硫醇基并噻唑锌盐的制备_凯茵工业添加剂

背景及概述[1][2] 2-硫醇基并噻唑锌盐具有硫化促进作用快、硫化平坦性低以及混炼时无早期硫化等特点,被广泛…

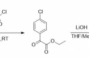
(4-氯基)乙醛酸的制备和应用_凯茵工业添加剂

(4-氯基)乙醛酸的制备和应用_凯茵工业添加剂

背景及概述[1] (4-氯基)乙醛酸是一种医药中间体,可由氯和2-氯-2-氧代通过两步制备得到,可用于制备一种…

广告位

促进剂zmbt的制备_凯茵工业添加剂

背景及概述[1] 促进剂zmbt 即2-巯基并噻唑锌。巯基噻唑类金属化合物常用作天然橡胶、二烯类合成橡胶及其胶…

乙氧甲酰基乙基三基溴化膦的制备_凯茵工业添加剂

背景及概述[1] 乙氧甲酰基乙基三基溴化膦是一种有机中间体,可由三基膦和2-溴丙酸乙酯一步制备得到。乙氧甲酰基…

联系我们

联系我们

181-3619-1160

在线咨询: QQ交谈

邮箱: 34331943@QQ.com

工作时间:周一至周五,9:00-17:30,节假日休息

关注微信
微信扫一扫关注我们

微信扫一扫关注我们

关注微博
返回顶部
首页
找样品
产品
应用
搜索