最新文章

2-己酮

mt015782-己酮591-78-6

英文名称: 2-hexanone 常用别名: 甲丁酮 | 甲基丁基甲酮 | 2-已酮 | 丁基甲基酮 | 甲基…

正戊醇

mt01579正戊醇71-41-0

英文名称: pentan-1-ol 常用别名: 1-戊醇 | 丁基甲醇 | 丁原醇 cas号: 71-41-0…

广告位

广告

三聚氰酸三烯丙酯

mt01580三聚氰酸三烯丙酯101-37-1

英文名称: triallyl cyanurate 常用别名: 促进剂tac cas号: 101-37-1 沸点…

1-溴代萘

mt015821-溴代萘90-11-9

英文名称: 1-bromonaphthalene 常用别名: 1-溴萘 | α-溴萘 | 1-溴化萘 cas号…

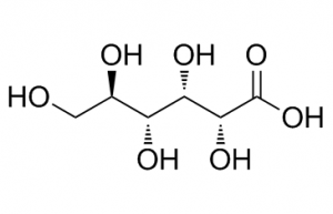
D-葡萄糖酸溶液

mt01583d-葡萄糖酸溶液526-95-4

英文名称: d-gluconic acid 常用别名: 己糖酸 | 1,2,3,4,5-五羟基己酸 | d-葡…

三(三甲硅烷基)膦

mt01584三(三甲硅烷基)膦15573-38-3

英文名称: tris(trimethylsilyl)phosphine 常用别名: 氘代3-氨基-5-吗啉-4…

2-乙基-4-甲基咪唑

mt015882-乙基-4-甲基咪唑931-36-2

英文名称: 2-ethyl-4-methylimidazole 常用别名: 4-甲基-2-乙基咪唑 | 2-乙…

氟硼酸

mt01590氟硼酸16872-11-0

英文名称: fluoboric acid 常用别名: 四氟硼酸 | 一氢四氟硼酸(1-) cas号: 1687…

广告位
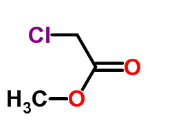
氯乙酸甲酯

mt01592氯甲酯96-34-4

英文名称: methyl chloroacetate 常用别名: 氯醋酸甲酯 | 甲基氯代酯 | 氯代醋酸甲酯…

1,2-戊二醇

mt015931,2-戊二醇5343-92-0

英文名称: 1,2-pentanediol 常用别名: α-正戊二醇 | 戊二醇 cas号: 5343-92-…

联系我们

联系我们

181-3619-1160

在线咨询: QQ交谈

邮箱: 34331943@QQ.com

工作时间:周一至周五,9:00-17:30,节假日休息

关注微信
微信扫一扫关注我们

微信扫一扫关注我们

关注微博
返回顶部
首页
找样品
产品
应用
搜索