最新文章

胍基丙酸

mt01470胍基丙酸353-09-3

英文名称: guanidinopropionic acid 常用别名: 胍基丙酸 ;3-胍基丙酸;beta-丙…

苄基三甲基溴化铵

mt01472苄基三甲基溴化铵5350-41-4

英文名称: benzyltrimethylammonium bromide 常用别名: 苄基三甲基溴化铵;三甲…

广告位

广告

安替比林

mt01474安替比林60-80-0

英文名称: antipyrine 常用别名: 1,5-二甲基-2-基-3-吡唑啉酮;安替比啉;安替吡啉;二甲基…

L-蛋氨酸

mt01477l-蛋氨酸63-68-3

英文名称: l-methionine 常用别名: l-γ-甲硫基-α-氨基丁酸;蛋氨酸;l-甲硫氨酸;l-蛋氨…

水杨酸苯酯

mt01479水杨酸酯118-55-8

英文名称: phenyl salicylate 常用别名: 2-羟基甲酸酯;邻羟基甲酸酯;萨罗;柳酸酯;柳酸困…

铬酸钾

mt01480铬酸钾7789-00-6

英文名称: potassium chromate 常用别名: 铬酸二钾 cas号: 7789-00-6 沸点:…

无水硫酸锰

mt01481无水锰7785-87-7

英文名称: manganese(ii) sulfate 常用别名: 锰 cas号: 7785-87-7 沸点:…

四氧化三铁

mt01482四氧化三铁1317-61-9

英文名称: triiron tetraoxide 常用别名: 四氧化三铁磁性纳米微球 | 磁性氧化铁 cas号…

广告位
三羟甲基氨基甲烷

mt01483三羟甲基氨基甲烷 77-86-1

英文名称: trometamol 常用别名: 2-氨基-2-(羟甲基)-1,3-丙二醇 | 缓血酸铵 | 2-…

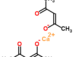
乙酰丙酮钙

mt01485乙酰丙酮钙19372-44-2

英文名称: calcium acetylacetonate 常用别名: 2,4-戊二酮钙 | 双(2,4-戊二…

联系我们

联系我们

181-3619-1160

在线咨询: QQ交谈

邮箱: 34331943@QQ.com

工作时间:周一至周五,9:00-17:30,节假日休息

关注微信
微信扫一扫关注我们

微信扫一扫关注我们

关注微博
返回顶部
首页
找样品
产品
应用
搜索