二基乙炔的制备_凯茵工业添加剂

背景及概述[1] 炔烃衍生物二基乙炔在有机合成中占据着重要的地位,许多天然产物、药物分子和聚合材料等都包含炔烃…

间甲氧基的制备_凯茵工业添加剂

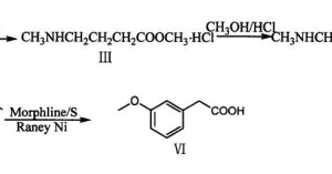
概述[1] 甲氧基如邻、对、间甲基,它(们)是一类重要的有机化工精细化学品中间体,主要用于制造农药和医药及相应…

广告位

广告

间三氟甲基甲酸的制备_凯茵工业添加剂

概述[1] 间三氟甲基甲酸是一种医药、农药化学中间体,在医药、农药等领域有着十分广泛的应用。目前主要有以下制备…

联菊酯的应用与制备_凯茵工业添加剂

背景及概述[1] 联菊酯是70-80年代迅速发展起来的新型拟除虫菊类农用杀虫剂品种之一,在世界各国广泛使用。联…

邻二甲腈的制备_凯茵工业添加剂

背景及概述[1] 芳香腈类化合物邻二甲腈是一类非常重要的有机合成中间体,广泛存在于医药、农药、除草剂、杀虫剂、…

邻二甲酰基氨氯地平的制备_凯茵工业添加剂

背景及概述[1] 氨氯地平,化学名为3-乙基-5-甲基-2-(2-氨基乙氧基甲基)-4-(-2-氯基)-6-甲…

六氨基(3盐酸盐)的制备_凯茵工业添加剂

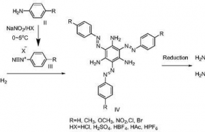
背景及概述[1] 六氨基(3盐酸盐)为芳香烃类衍生物,可用作有机合成中间体。 制备[1] 六氨基(3盐酸盐)的…

水杨酰胺的制备_凯茵工业添加剂

概述[1] 水杨酰胺又名制剂339白色或微棕色片状晶体,遇光颜色变深。熔点135℃。难溶于水,溶于乙醇、、氯仿…

广告位

硬脂酰甲酰甲烷的制备_凯茵工业添加剂

背景及概述[1] 硬脂酰甲酰甲烷(sbm)是一种重要的β-二酮结构的塑料用辅助热稳定剂,它能与多种稳定剂复合,…

油溶胺黑的应用_凯茵工业添加剂

背景及概述[1] 溶剂黑7又称油溶胺黑,它是一种染料及颜料,黑色超细粒末,溶于油脂和石蜡。其主要用于胶鞋亮油,…

联系我们

联系我们

181-3619-1160

在线咨询: QQ交谈

邮箱: 34331943@QQ.com

工作时间:周一至周五,9:00-17:30,节假日休息

关注微信
微信扫一扫关注我们

微信扫一扫关注我们

关注微博
返回顶部
首页
找样品
产品
应用
搜索