羟丙甲纤维素邻二甲酸酯的应用与制备_凯茵工业添加剂

羟丙甲纤维素邻二甲酸酯的应用与制备_凯茵工业添加剂

背景及概述[1] 作为肠溶性聚合物,羟丙甲纤维素邻二甲酸酯是广为人知的,它是总共具有三种取代基的聚合物,并且是…

4-氟-2-甲氧基-5-硝基胺的制备_凯茵工业添加剂

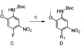
背景[1] 4-氟-2-甲氧基-5-硝基胺是有机合成中间体和医药中间体,可用于实验室研发过程和化工医药研发过程…

广告位

广告

4-氟的制备_凯茵工业添加剂

背景及概述[1] 4-氟是有机合成中间体和医药中间体,可用于实验室研发过程和化工医药研发过程中,可在制药、电子…

氯唑灵的应用_凯茵工业添加剂

概述[1] 氯唑灵(etridiazole),别名土菌灵,化学名称:5-乙氧基-3-三氯甲基-1,2,4-噻二…

聚胺的应用与制备_凯茵工业添加剂

背景及概述[1] 聚胺是从胺单体出发,通过化学氧化聚合或电化学聚合得到的一类导电高分子材料。1985年发现在不…

邻溴甲酸甲酯的应用_凯茵工业添加剂

邻溴甲酸甲酯的应用_凯茵工业添加剂

背景及概述[1] 邻溴甲酸甲酯是一种有机中间体,可由甲酸甲酯一步溴代制备得到。 制备[1] 在250ml的三口…

氯乙酰儿茶酚的制备与应用_凯茵工业添加剂

背景及概述[1-2] 氯乙酰儿茶酚是合成卡巴克络的关键中间体。卡巴克络又名安络血、肾上腺色素缩氨脲水杨酸钠,主…

尼拉帕尼对磺酸盐的制备_凯茵工业添加剂

背景及概述[1][2] 尼拉帕尼对磺酸盐是一种磺酸类有机物,可用作医药中间体。尼拉帕尼化学名为2-[4-((3…

广告位

利太膦酸的制备_凯茵工业添加剂

背景及概述[1] 利太膦酸及其酯是在药学上有用的化合物,其主要是对中枢神经系统的起作用。利太膦酸可是用于治疗儿…

1-基-2(3-基硼酸)-并咪唑的制备_凯茵工业添加剂

背景及概述[1] 1-基-2(3-基硼酸)-并咪唑为咪唑类有机物,可用作医药合成中间体。 制备[1] 1-基-…

联系我们

联系我们

181-3619-1160

在线咨询: QQ交谈

邮箱: 34331943@QQ.com

工作时间:周一至周五,9:00-17:30,节假日休息

关注微信
微信扫一扫关注我们

微信扫一扫关注我们

关注微博
返回顶部
首页
找样品
产品
应用
搜索