邻二甲醛的作用机理_凯茵工业添加剂

背景及概述[1] 邻二甲醛,是一种重要的医药化工中间体,以前主要用于胺类生物碱、荧光计组胺测定试剂及医药检验方…

间三酚的制备_凯茵工业添加剂

背景及概述[1] 间三酚分子式c6h6o3,白色菱形结晶。味甜。在光照下颜色消失。升华同时分解。熔点218℃,…

广告位

广告

邻二甲醛的应用_凯茵工业添加剂

背景及概述[1] 邻二甲醛(ortho-phthalaldehyde)是一种医药中间体,曾广泛应用于胺类生物碱…

氨基酚的应用_凯茵工业添加剂

背景及概述[1][2] 对氨基酚(p‑aminophenol,简称pap)是合成医药、农药及染料等的重要中间体…

2,6-二溴的应用_凯茵工业添加剂

背景及概述[1][2] 2,6-二溴可由对硝基溴代得到,可用于制备2,6-二溴溴苄。 制备[1] 1,3-二溴…

四氯对二甲酸的制备方法_凯茵工业添加剂

背景及概述[1] 四氯对二甲酸可用作医药合成中间体。如果吸入四氯对二甲酸,请将患者移到新鲜空气处;如果皮肤接触…

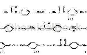
磺胺硝的制备方法_凯茵工业添加剂

背景及概述[1] 磺胺硝属于磺胺类的一种抗球虫药物,此药抑制球虫体内的二氢叶酸合成酶阻碍叶酸合成导致核酸合成受…

3-丙酸甲酯的制备_凯茵工业添加剂

背景及概述[1] 3-丙酸甲酯又叫丙酸甲酯,氢化肉桂酸甲酯。酯类化合物以及酯类化合物的衍生物在医药、化工、燃料…

广告位

邻溴胺的主要应用_凯茵工业添加剂

背景及概述[1] 邻溴胺白色针状结晶。分子量172.03。熔点32℃。沸点229℃。相对密度1.578(20/…

溴腈的应用及制备_凯茵工业添加剂

背景及概述[1] 溴腈又称伴地农,是一种选择性苗后触杀型除草剂。化学名称为3,5-二溴-4-羟基-1-氰基。原…

联系我们

联系我们

181-3619-1160

在线咨询: QQ交谈

邮箱: 34331943@QQ.com

工作时间:周一至周五,9:00-17:30,节假日休息

关注微信
微信扫一扫关注我们

微信扫一扫关注我们

关注微博
返回顶部
首页
找样品
产品
应用
搜索