背景 [1]
5,6-二氢-3-(4-吗啉基)-1-[4-(2-氧代-1-哌啶基)基]-2(1h)-吡啶酮为制备阿哌沙班的中间体。阿哌沙班(apixaban,1),化学名为1-( 4- 甲氧基基) -7- 氧代-6-[ 4-( 2- 氧代哌啶-1- 基) 基]-4,5,6,7- 四氢-1h– 吡唑并[3,4-c] 吡啶-3- 甲酰胺,是百时美施贵宝和辉瑞公司共同研发的抗凝血药,直接作用于凝血因子xa,分别于2011 年5 月和2012 年12 月获欧盟和fda 批准上市,于2013年4 月在中国上市,商品名艾乐妥,用于治疗包括深静脉血栓和肺栓塞在内的静脉血栓疾病。已有多篇文献报道1 的合成方法。
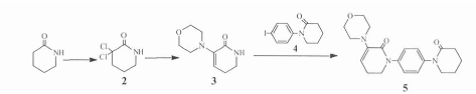
文献方法制备1-(4- 甲氧基基)-6-(4- 氨基基)-7- 氧代-4,5,6,7- 四氢-1h– 吡唑[3,4-c] 吡啶-3- 甲酸乙酯时,采用铁粉还原,会产生大量铁泥,污染严重,不宜放大生产;制备1 时,用氨水在高压釜中进行氨解,条件较为苛刻,且反应时间长、反应不彻底。有研究参考相关文献,确定以下路线合成1:以2- 哌啶酮为原料,经双氯取代得3,3- 二氯哌啶-2- 酮(2),2 与过量吗啉缩合得关键中间体3-(4- 吗啉基)-5,6- 二氢-1h– 吡啶-2- 酮(3),3 与1-(4- 碘基) -2- 哌啶酮(4) 进行亲核取代得5,6-二氢-3-(4-吗啉基)-1-[4-(2-氧代-1-哌啶基)基]-2(1h)-吡啶酮(5),经1,3 偶极环加成、氨解得1,纯度99.8%,总收率30.2% ( 以2- 哌啶酮计)。路线工艺稳定,反应条件温和,操作简便,适宜工业生产。
应用[1]
5,6-二氢-3-(4-吗啉基)-1-[4-(2-氧代-1-哌啶基)基]-2(1h)-吡啶酮主要用于制备阿哌沙班,具体步骤如下:
步骤1:1-(4- 甲氧基基)-6-[4-(2- 氧代哌啶-1- 基)-基]-7- 氧代-4,5,6,7- 四氢-1h– 吡唑并[3,4-c] 吡啶-3- 甲酸乙酯(7)的合成
室温,将5,6-二氢-3-(4-吗啉基)-1-[4-(2-氧代-1-哌啶基)基]-2(1h)-吡啶酮(5.0 g,14 mmol) 和6(4.0 g,16 mmol)加入(150 ml)中,再依次加入碘化钾(0.35 g,2 mmol) 和三乙胺(6.8 ml,49 mmol),升温至回流反应12 h,冷却至0 ℃,滴加4 mol/l 盐酸(20 ml),室温搅拌反应2 h,析出灰白色固体,过滤,滤饼用冰(20 ml) 洗涤,所得固体用水(20 ml)打浆,过滤,50 ℃鼓风干燥5 h,得7 粗品(6.5 g),用重结晶,得白色固体7( 5.8 g,89% ),mp 126 ~ 128 ℃ ( 文献126 ~ 128 ℃ ),纯度99.8% (hplc 归一化法)。
步骤2:阿哌沙班(1)的合成
0 ℃ 将7( 5.0 g,10 mmol) 溶于无水dmf(100 ml) 中,将甲酰胺(4.0 ml,100 mmol) 和甲醇钠( 0.83 g,13 mmol) 加入上述溶液中,升温至40 ℃反应4 h,将反应液冷却至室温,倾入水(100 ml) 中,析出浅棕色固体,搅拌1 h,抽滤,滤饼干燥,得1 粗品(4.1 g),室温将1 粗品(4.0 g)加入乙醇∶水(10 ∶ 1,80 ml) 的混合溶剂中,升温至回流,固体全溶后冷却至0 ℃,静置2 h,抽滤,滤饼50 ℃鼓风干燥5 h,得类白色晶体1(3.6 g,90% ),mp 239.5 ~ 240 ℃,纯度99.8% (hplc归一化法)。


制备 [1]
步骤1:3,3- 二氯哌啶-2- 酮(2)的合成
冰浴,将2- 哌啶酮(20.0 g,202 mmol) 的氯仿(200 ml) 溶液缓慢滴入含有五氯化磷(126.0 g,606 mmol) 的氯仿(300 ml) 混悬液中,加毕缓慢升温至回流,反应6 h,减压蒸除溶剂,搅拌下将浓缩物缓慢倒入碎冰(400 g) 中,用氯仿(400 ml) 萃取,有机层分别用饱和氯化钠溶液(200 ml×2) 和水(200 ml×2) 洗涤,用无水钠干燥1 h,过滤,滤液浓缩得白色粉末2(30.5 g,90.5% ),mp162 ~ 165 ℃ ( 文献163 ~ 165 ℃ )。
步骤2:3-(4- 吗啉基)-5,6- 二氢-1h- 吡啶-2- 酮(3)的合成
室温,将2(20.0 g,120 mmol) 加入吗啉(60 ml)中,回流反应3 h,冷却至室温,减压蒸馏,将浓缩物用二氯甲烷(200 ml) 溶解,水(100 ml×2) 洗涤,无水钠干燥1 h,过滤,滤液减压浓缩得3粗品,用异丙醇∶石油醚( 2 ∶ 1) 重结晶,得白色粉末3(10.5 g,48.4% )mp 145 ~ 148 ℃ ( 文献145 ~ 147 ℃ )。
步骤3:5,6-二氢-3-(4-吗啉基)-1-[4-(2-氧代-1-哌啶基)基]-2(1h)-吡啶酮(5)的合成
将4(10.0 g,33 mmol) 和3(6.8 g,36 mmol)加入dmso(160 ml) 中,再依次加入cui(0.64 g,3.4 mmol)、无水碳酸钾(13.7 g,100 mmol) 和邻菲啰啉(0.66 g,3.6 mmol),氮气保护下110 ℃反应12 h,冷却,滤去不溶物,加入二氯甲烷(300 ml) 稀释,依次用6%氨水(100 ml×3) 和饱和氯化钠溶液(100 ml×3) 萃取,合并水相,用二氯甲烷(200 ml×3) 萃取,合并有机层,用无水钠干燥1 h,过滤,滤液浓缩,得5 粗品(11.0 g),用乙醇重结晶,得灰白色针状结晶5(9.4 g,86%),mp 204 ~207 ℃ ( 文献205 ~ 207 ℃ ),纯度99.7%[hplc 归一化法:色谱柱 xbridge shield rp18柱(4.6 mm×150 mm,3.5 μm);流动相 乙腈∶水(90 ∶ 10);流速 1.0 ml/min;检测波长 280 nm;柱温 40 ℃;进样量 10 μl。

主要参考资料
[1]张伟, 王雪, 昌兴龙, 等. 抗凝血药阿哌沙班的合成[j]. 中国医药工业杂志, 2016, 47(10): 1216-1218.



